Sat Khan Academy Math
Sat Khan Academy Math - Khan academy's official digital sat prep course covers every skill on the test at three levels: The new official digital sat prep courses will fully replace our older official sat practice product and materials by december.
The new official digital sat prep courses will fully replace our older official sat practice product and materials by december. Khan academy's official digital sat prep course covers every skill on the test at three levels:
Khan academy's official digital sat prep course covers every skill on the test at three levels: The new official digital sat prep courses will fully replace our older official sat practice product and materials by december.
Khan Academy Official SAT® Practice Brief Course Overview YouTube
Khan academy's official digital sat prep course covers every skill on the test at three levels: The new official digital sat prep courses will fully replace our older official sat practice product and materials by december.
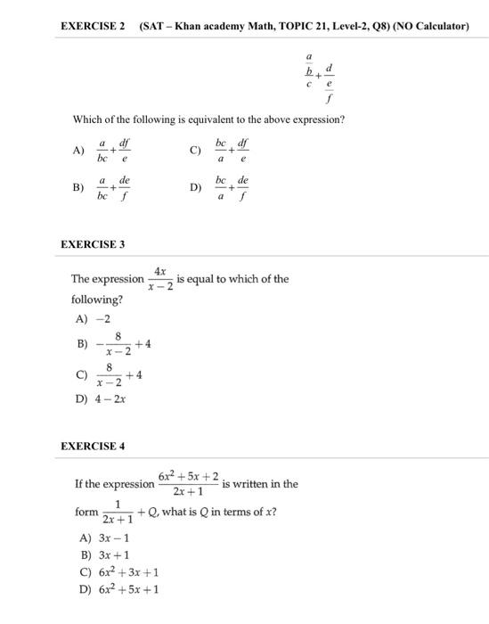
Solved EXERCISE 2 (SAT Khan academy Math, TOPIC 21,
The new official digital sat prep courses will fully replace our older official sat practice product and materials by december. Khan academy's official digital sat prep course covers every skill on the test at three levels:
Help with math question from khan academy r/Sat
Khan academy's official digital sat prep course covers every skill on the test at three levels: The new official digital sat prep courses will fully replace our older official sat practice product and materials by december.
Essential Free SAT Khan Academy Lessons Heart of Algebra satprep
Khan academy's official digital sat prep course covers every skill on the test at three levels: The new official digital sat prep courses will fully replace our older official sat practice product and materials by december.
Khan academy sat math prep jnrtune
Khan academy's official digital sat prep course covers every skill on the test at three levels: The new official digital sat prep courses will fully replace our older official sat practice product and materials by december.
Khan Academy Live SAT Math YouTube
Khan academy's official digital sat prep course covers every skill on the test at three levels: The new official digital sat prep courses will fully replace our older official sat practice product and materials by december.
The Pros (and Cons) of Using Khan Academy — Hive
Khan academy's official digital sat prep course covers every skill on the test at three levels: The new official digital sat prep courses will fully replace our older official sat practice product and materials by december.
SAT math and reading tests Khan Academy Wiki Fandom powered by Wikia
The new official digital sat prep courses will fully replace our older official sat practice product and materials by december. Khan academy's official digital sat prep course covers every skill on the test at three levels:
Khan academy sat score calculator MeishaVioleta
The new official digital sat prep courses will fully replace our older official sat practice product and materials by december. Khan academy's official digital sat prep course covers every skill on the test at three levels:
The New Official Digital Sat Prep Courses Will Fully Replace Our Older Official Sat Practice Product And Materials By December.
Khan academy's official digital sat prep course covers every skill on the test at three levels:






